SUPEROXIDE DISMUTASE from Bovine erythrocyte
SOD-302
Superoxide: superoxide oxidoreductase (EC 1.15.1.1)
2O₂‾ + 2H⁺ ► H₂O₂ + O₂
| Appearance: | Bluish green amorphous powder, lyophilized |
|---|---|
| Activity: | GradeⅢ 3,000U/mg-solid or more |
| Contaminant: | Catalase ≤1.0×10⁻²% |
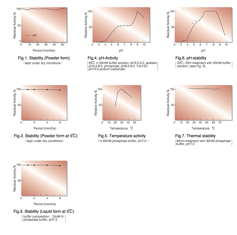
| Stability: | Stable at -20°C for at least One year (Fig.1) |
|---|---|
| Molecular weight : | 32,000 ¹ ⁾ |
| Isoelectric point : | 4.95 ² ⁾ |
| Structure: | 2 subunits per enzyme molecule(Each one mole of copper and zinc is bound to each subunit) |
| Inhibitors: | Cyanide ⁴⁾,diethyldithiocarbamate ⁵⁾ |
| Optimum pH : | 9.0(Fig.4) |
| Optimum temperature : | 30°C(Fig.5) |
| pH Stability : | pH 7.0-8.5 (25°C, 20hr)(Fig.6) |
| Thermal stability : | below 70°C (pH 7.0, 30min)(Fig.7) |
ASSAY
Principle:

The appearance of reduced cytochrome C is measured at 550nm by spectrophotometry.
Unit definition:
One unit causes half a maximum inhibition of cytochrome C reduction under the conditions described below.
Method:
| A. K-Phosphate buffer, pH 7.8: | 75mM |
|---|---|
| B. EDTA solution: | 1.5mM Ethylenediaminetetraacetate・Na₂ |
| C. Xanthine solution: | 0.75mM (Dissolved in 0.004N NaOH solution)(Should be prepared fresh) |
| D. Xanthine oxidase solution : | 0.04U/ml[Dilute xanthine oxidase (ammonium sulfate suspension, ca.4U/ml) to 0.04U/ml with H₂O](Should be prepared fresh) |
| E. Cytochrome C solution: | 0.15mM (from horse heart)(Should be prepared fresh) |
| F. Enzyme diluent: | 10mM K-Phosphate buffer,pH 7.8 |
Procedure
| Concentration in assay mixture | |
|---|---|
| K-Phosphate buffer | 57 mM |
| Xanthine | 50 µM |
| Cytochrome C | 10 mM |
| EDTA | 0.10 mM |
| Xanthine oxidase | ca.0.90mU/ml |
1. Prepare the following reaction mixture in a cuvette (d=1.0cm) and equilibrate at 25°C for about 5 minutes.
2.0 ml Buffer solution (A)
0.20ml EDTA solution (B)
0.20ml Xanthine solution (C)
0.20ml Cytochrome C solution (E)
0.20ml Enzyme solution* (F)
2. Add 0.2ml of xanthine oxidase solution (D) and mix by gentle inversion.
3. Record the increase in optical density at 550nm against water for 2 to 3 minutes in a spectrophotometer
thermostated at 25°C, and calculate the ΔOD per minute from the initial linear portion of the curve (ΔOD test).
At the same time, measure the blank rate (ΔOD blank) by using the same method as the test except that the enzyme diluent (F) is added instead of the enzyme solution.
* Dissolve the enzyme preparation in ice-cold enzyme diluent (F) and dilute to 0.5−2.0U/ml with the same buffer and store on ice.
Calculation
Activity can be calculated by using the following formula :
Weight activity (U/mg)=(U/ml)×1/C
- Vs
- : Sample volume (0.2ml)
- df
- : Dilution factor
- C
- : Enzyme concentration in dissolution (c mg/ml)
REFERENCES
- J.M.McCord and I.Fridovich; J.Biol.Chem, 244, 6049 (1969)
- J.Bannister, W.Bannister and E.Wood; Eur.J.Biochem., 18, 178 (1971)
- I.Fridovich; Advan.Enzymol., 41, 35 (1974)
- C.O.Beauchamp and I.Fridovich; Biochim.Biophys.Acta., 317, 50 (1973)
- R.E.Heikkila, F.S.Cabbat and G.Cohen; J.Biol.Chem., 251, 2182 (1976)

To get a quote, contact us at info@toyobousa.com, or INQUIRY.